Официальное опубликование правовых актов
ОФИЦИАЛЬНОЕ ОПУБЛИКОВАНИЕ
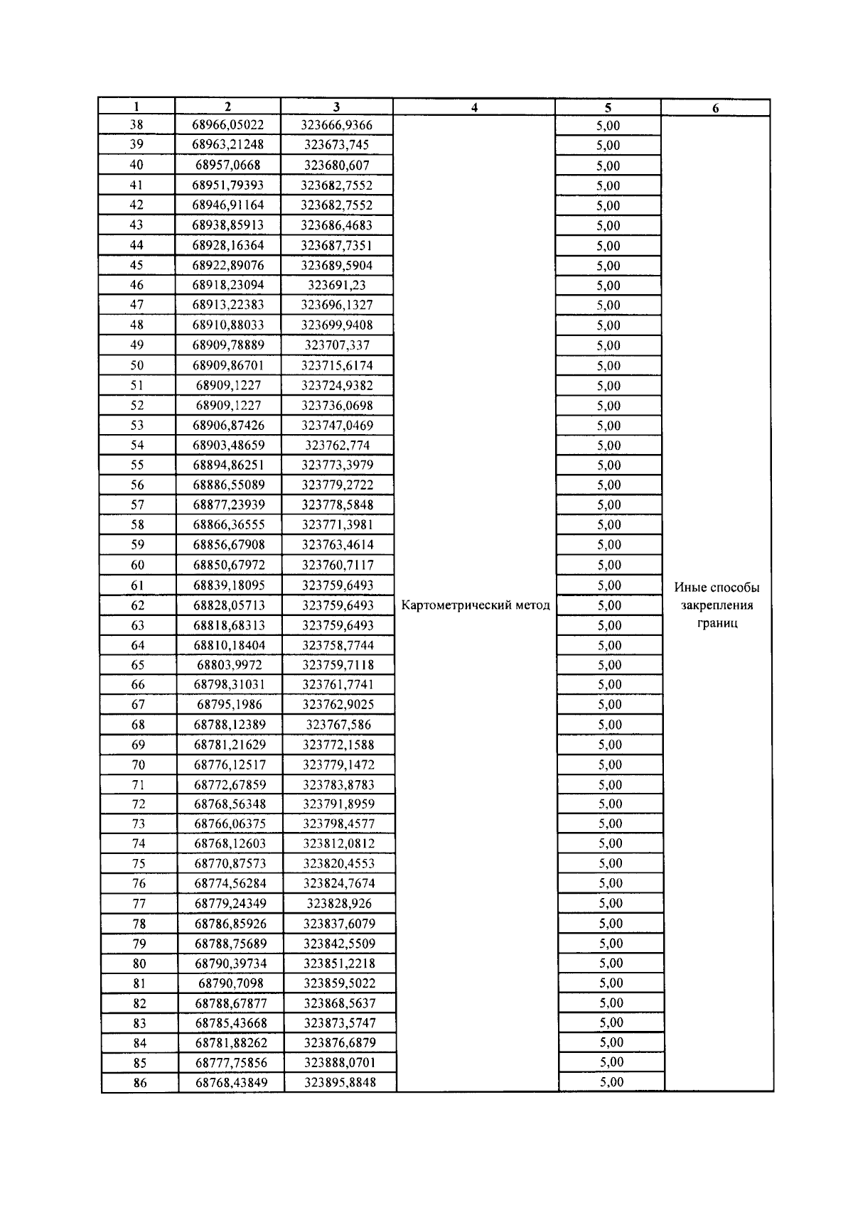
Приказ Министерства природных ресурсов и экологии Республики Северная Осетия-Алания от 02.10.2024 № 350
"Об утверждении местоположения береговой линии (границы водного объекта)"
(Зарегистрирован 07.10.2024 № 0288-24-1)
Номер опубликования: 1501202410090001
Дата опубликования: 09.10.2024
Страница №3 из 6:
Увеличить