Официальное опубликование правовых актов
ОФИЦИАЛЬНОЕ ОПУБЛИКОВАНИЕ
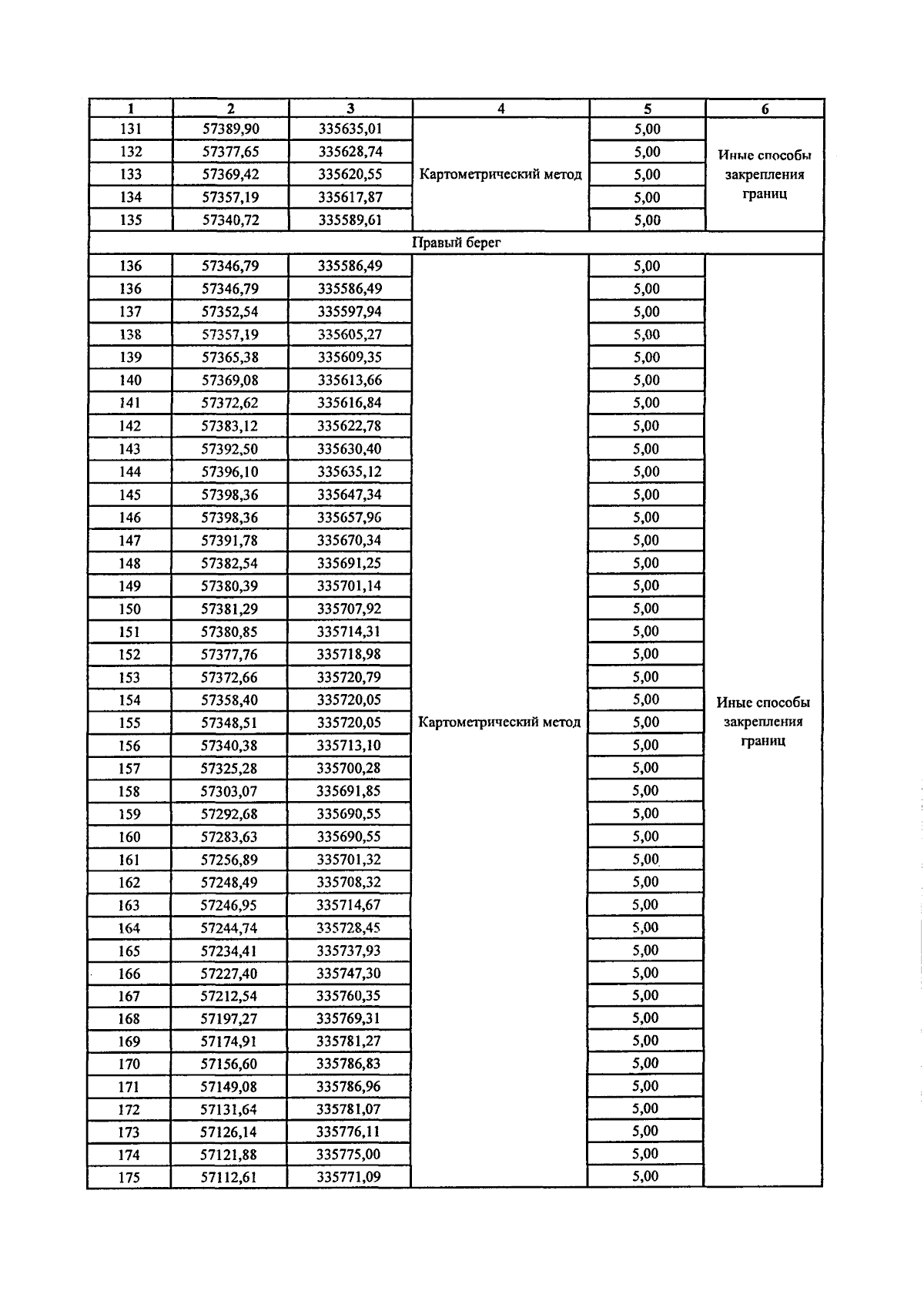
Приказ Министерства природных ресурсов и экологии Республики Северная Осетия-Алания от 22.08.2024 № 302
"Об утверждении Правил определения местоположения береговой линии"
(Зарегистрирован 26.08.2024 № 0240-24-1)
Номер опубликования: 1501202408300005
Дата опубликования: 30.08.2024
Страница №5 из 7:
Увеличить