Официальное опубликование правовых актов
ОФИЦИАЛЬНОЕ ОПУБЛИКОВАНИЕ
Приказ Министерства строительства и архитектуры Республики Северная Осетия-Алания от 04.04.2024 № 21
"Об утверждении генерального плана Задалеского сельского поселения Ирафского района Республики Северная Осетия - Алания"
(Зарегистрирован 08.04.2024 № 0091-24-1)
Номер опубликования: 1501202404120004
Дата опубликования: 12.04.2024
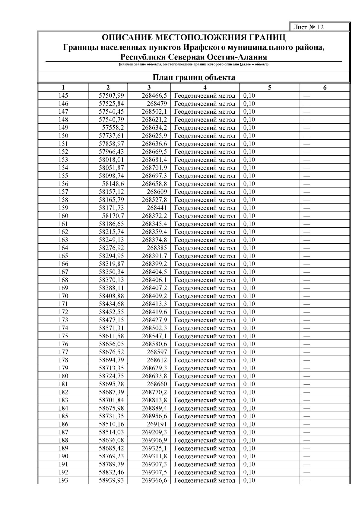
Страница №143 из 152:
Увеличить