Официальное опубликование правовых актов
ОФИЦИАЛЬНОЕ ОПУБЛИКОВАНИЕ
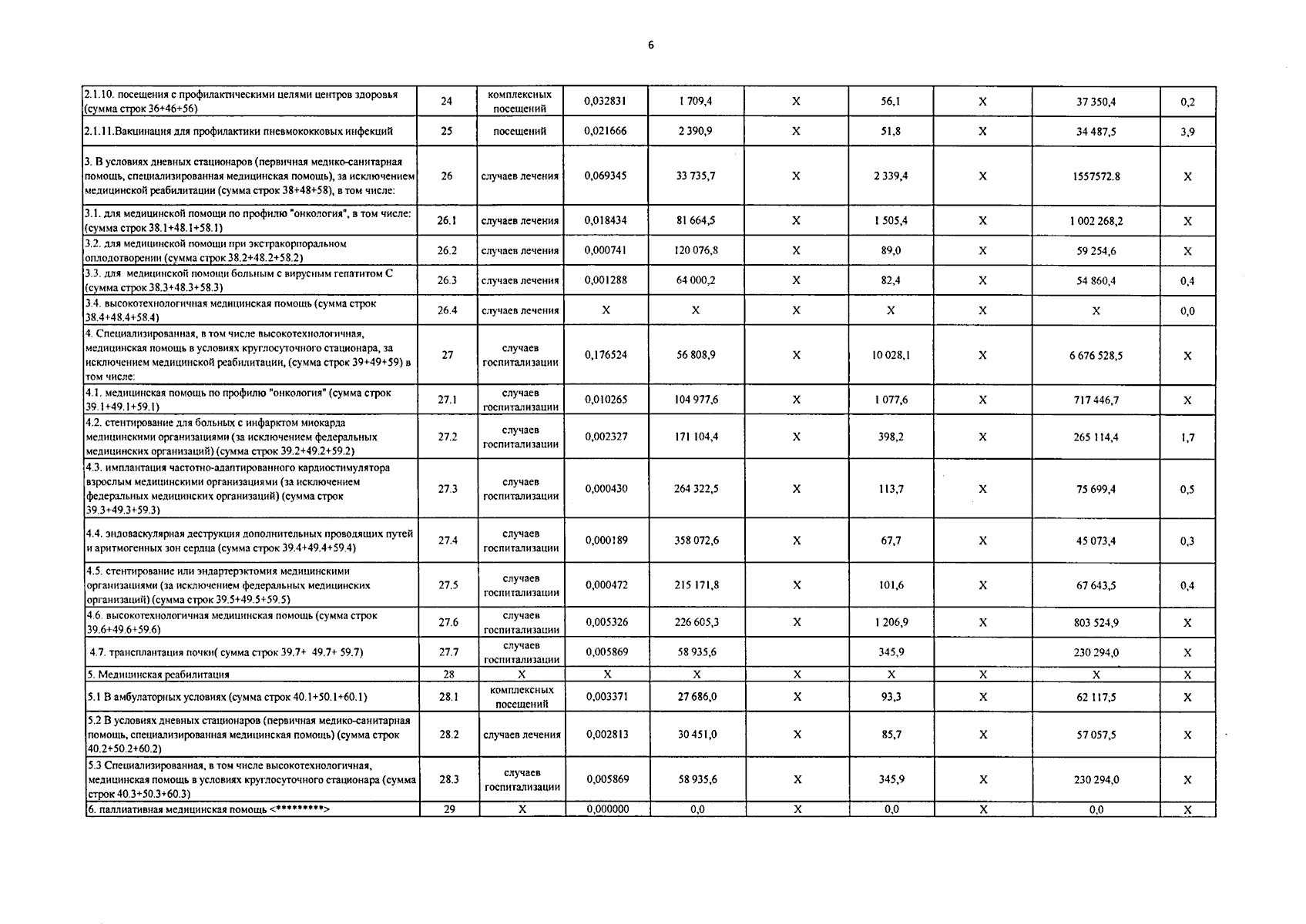
Постановление Правительства Республики Северная Осетия - Алания от 25.12.2025 № 505
"О Территориальной программе государственных гарантий бесплатного оказания гражданам медицинской помощи на территории Республики Северная Осетия-Алания на 2026 год и на плановый период 2027 и 2028 годов"
Номер опубликования: 1500202512290043
Дата опубликования: 29.12.2025
Страница №214 из 256:
Увеличить