Официальное опубликование правовых актов
ОФИЦИАЛЬНОЕ ОПУБЛИКОВАНИЕ
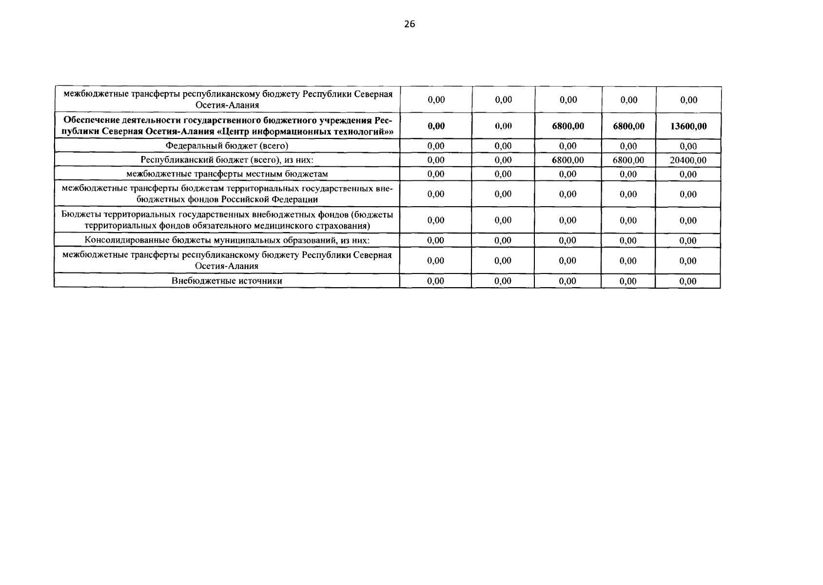
Постановление Правительства Республики Северная Осетия - Алания от 25.12.2025 № 515
"О внесении изменения в постановление Правительства Республики Северная Осетия-Алания от 17 декабря 2019 года № 443 "О государственной программе Республики Северная Осетия-Алания "Развитие информационного общества в Республике Северная Осетия—Алания"
Номер опубликования: 1500202512290024
Дата опубликования: 29.12.2025
Страница №27 из 89:
Увеличить