Официальное опубликование правовых актов
ОФИЦИАЛЬНОЕ ОПУБЛИКОВАНИЕ
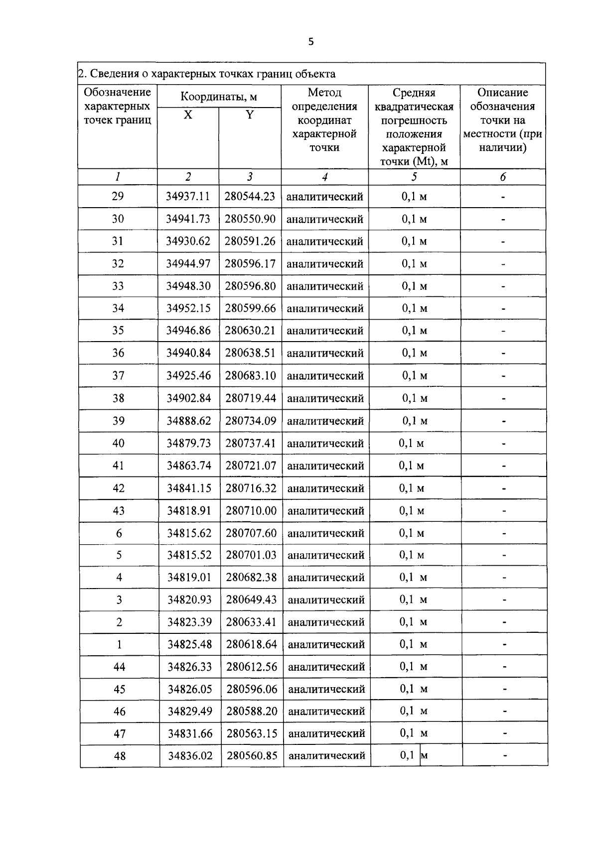
Постановление Правительства Республики Северная Осетия - Алания от 02.12.2025 № 462
"Об утверждении зон охраны объекта культурного наследия регионального значения "Сторожевая башня Дзалаевых, Святилище", расположенного по адресу: Республика Северная Осетия-Алания, Алагирский район, с. Нижний Цей, и требований к градостроительным регламентам в границах территории данных зон"
Номер опубликования: 1500202512050004
Дата опубликования: 05.12.2025
Страница №7 из 12:
Увеличить