Официальное опубликование правовых актов
ОФИЦИАЛЬНОЕ ОПУБЛИКОВАНИЕ
Постановление Правительства Республики Северная Осетия - Алания от 01.07.2025 № 216
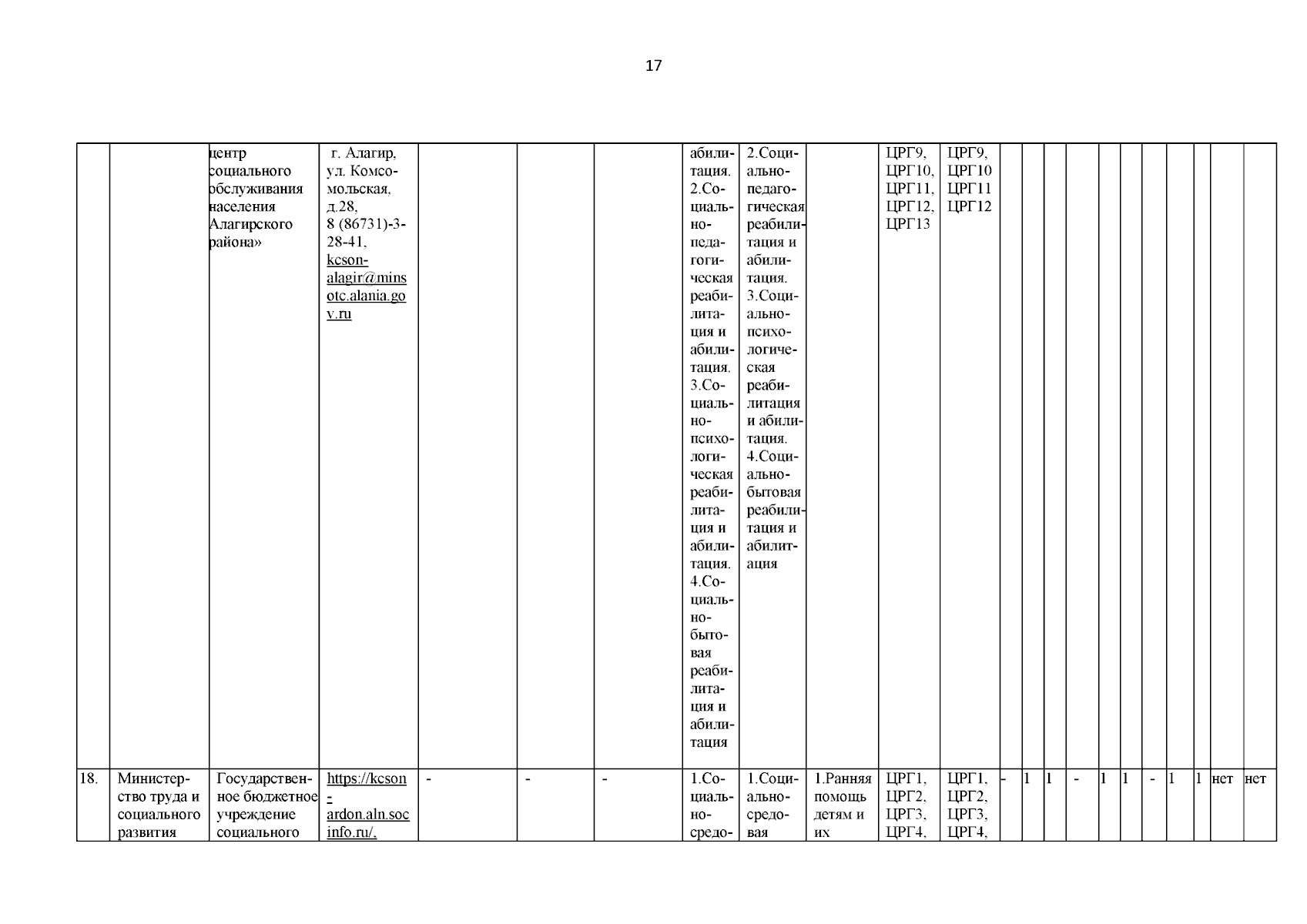
"Об утверждении Плана мероприятий переходного периода по осуществлению реабилитационными организациями Республики Северная Осетия-Алания мероприятий и оказания услуг по отдельным основным направлениям комплексной реабилитации и абилитации инвалидов в соответствии со стандартами оказания услуг по отдельным основным направлениям комплексной реабилитации и абилитации инвалидов и со стандартами оказания услуг по ранней помощи детям и их семьям на 2025 – 2029 годы"
Номер опубликования: 1500202507030013
Дата опубликования: 03.07.2025
Страница №19 из 76:
Увеличить