Официальное опубликование правовых актов
ОФИЦИАЛЬНОЕ ОПУБЛИКОВАНИЕ
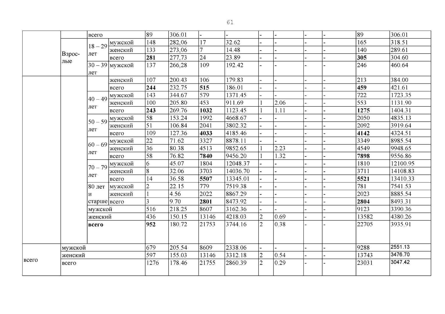
Постановление Правительства Республики Северная Осетия - Алания от 01.07.2025 № 228
"Об утверждении региональной программы Республики Северная Осетия-Алания "Борьба с сахарным диабетом"
Номер опубликования: 1500202507030006
Дата опубликования: 03.07.2025
Страница №62 из 110:
Увеличить