Официальное опубликование правовых актов
ОФИЦИАЛЬНОЕ ОПУБЛИКОВАНИЕ
Постановление Правительства Республики Северная Осетия - Алания от 03.06.2025 № 184
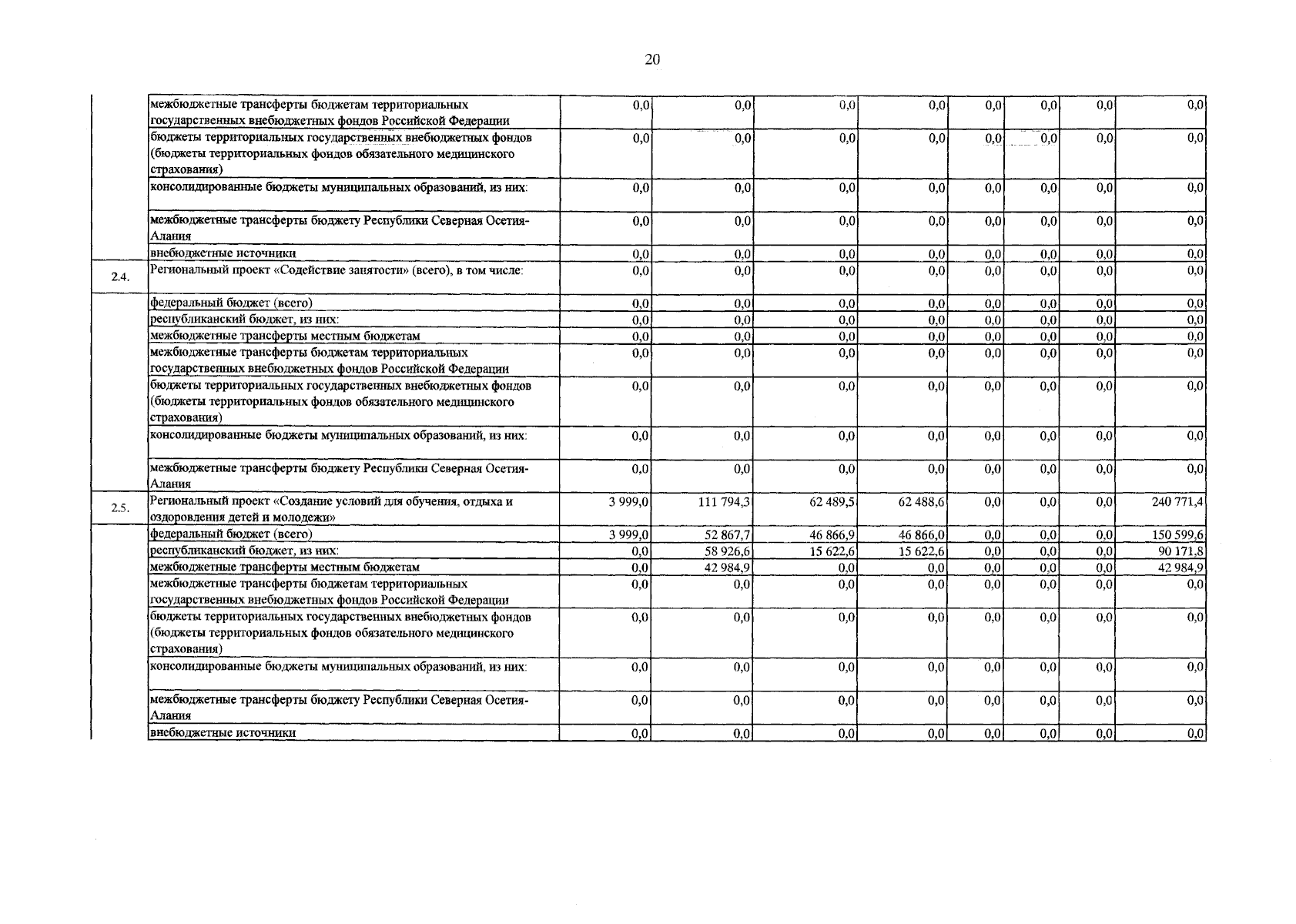
"О внесении изменений в постановление Правительства Республики Северная Осетия-Алания от 25 июня 2019 года .№ 224 "Об утверждении государственной программы Республики Северная Осетия—Алания "Развитие образования Республики Северная Осетия-Алания"
Номер опубликования: 1500202506100019
Дата опубликования: 10.06.2025
Страница №21 из 78:
Увеличить