Официальное опубликование правовых актов
ОФИЦИАЛЬНОЕ ОПУБЛИКОВАНИЕ
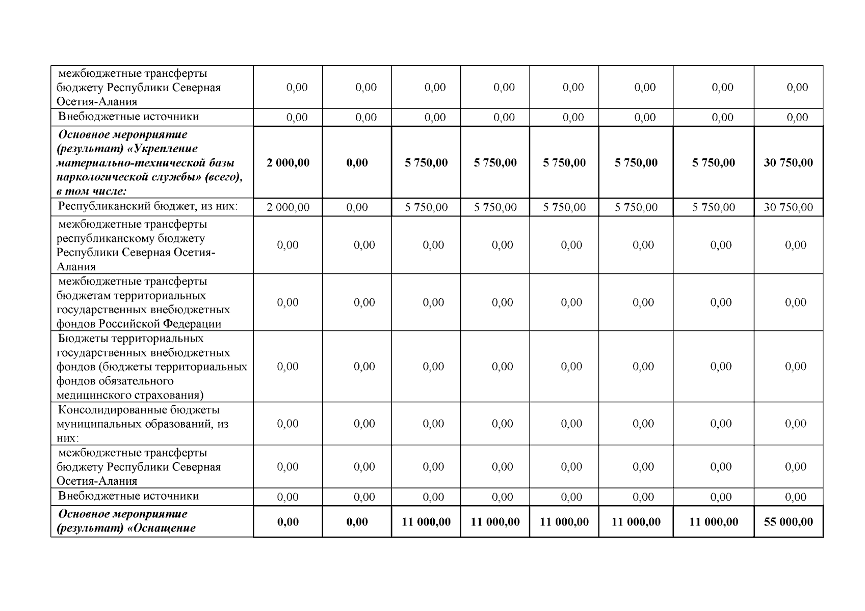
Постановление Правительства Республики Северная Осетия - Алания от 13.05.2025 № 162
"О внесении изменений в постановление Правительства Республики Северная Осетия-Алания от 29 декабря 2023 года № 630 "Об утверждении государственной программы Республики Северная Осетия-Алания "Комплексные меры по профилактике незаконного потребления психоактивных веществ, реабилитации и ресоциализации лиц, потребляющих психоактивные вещества без назначения врача" на 2024 - 2030 годы"
Номер опубликования: 1500202505150004
Дата опубликования: 15.05.2025
Страница №32 из 33:
Увеличить