Официальное опубликование правовых актов
ОФИЦИАЛЬНОЕ ОПУБЛИКОВАНИЕ
Постановление Правительства Республики Северная Осетия - Алания от 18.03.2025 № 87
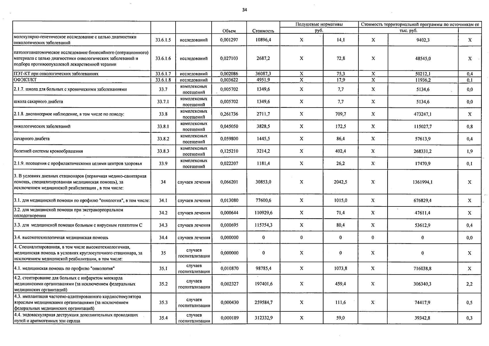
"О внесении изменений в постановление Правительства Республики Северная Осетия-Алания от 23 декабря 2024 г. № 557 "О Территориальной программе государственных гарантий бесплатного оказания гражданам медицинской помощи на территории Республики Северная Осетия-Алания на 2025 год и на плановый период 2026 и 2027 годов"
Номер опубликования: 1500202503250013
Дата опубликования: 25.03.2025
Страница №35 из 41:
Увеличить