Официальное опубликование правовых актов
ОФИЦИАЛЬНОЕ ОПУБЛИКОВАНИЕ
Постановление Правительства Республики Северная Осетия - Алания от 23.12.2024 № 556
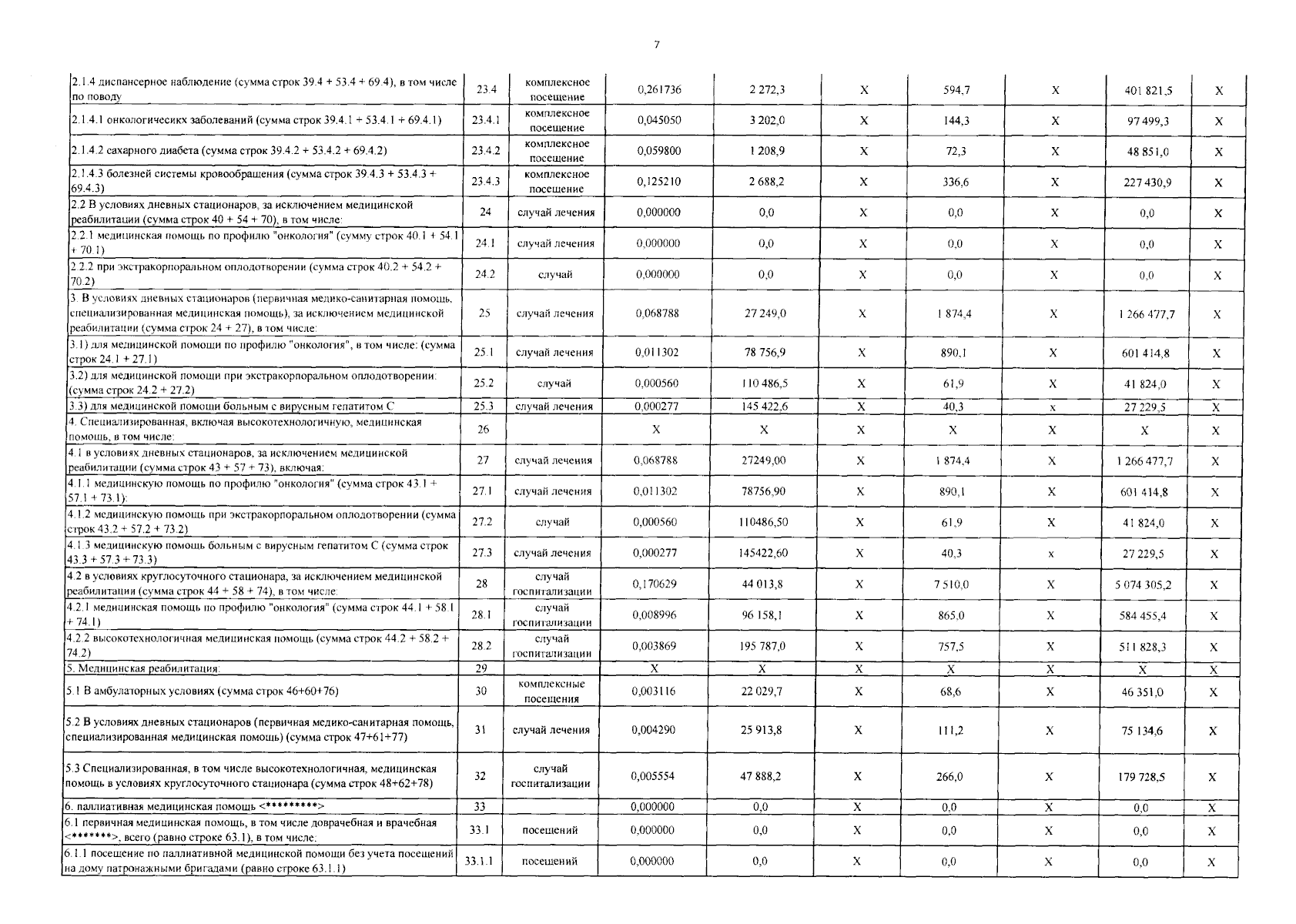
"О внесении изменений в постановление Правительства Республики Северная Осетия-Алания от 19 декабря 2023 г. № 574 "О Территориальной программе государственных гарантий бесплатного оказания гражданам медицинской помощи на территории Республики Северная Осетия-Алания на 2024 год и на плановый период 2025 и 2026 годов"
Номер опубликования: 1500202412260020
Дата опубликования: 26.12.2024
Страница №8 из 18:
Увеличить