Официальное опубликование правовых актов
ОФИЦИАЛЬНОЕ ОПУБЛИКОВАНИЕ
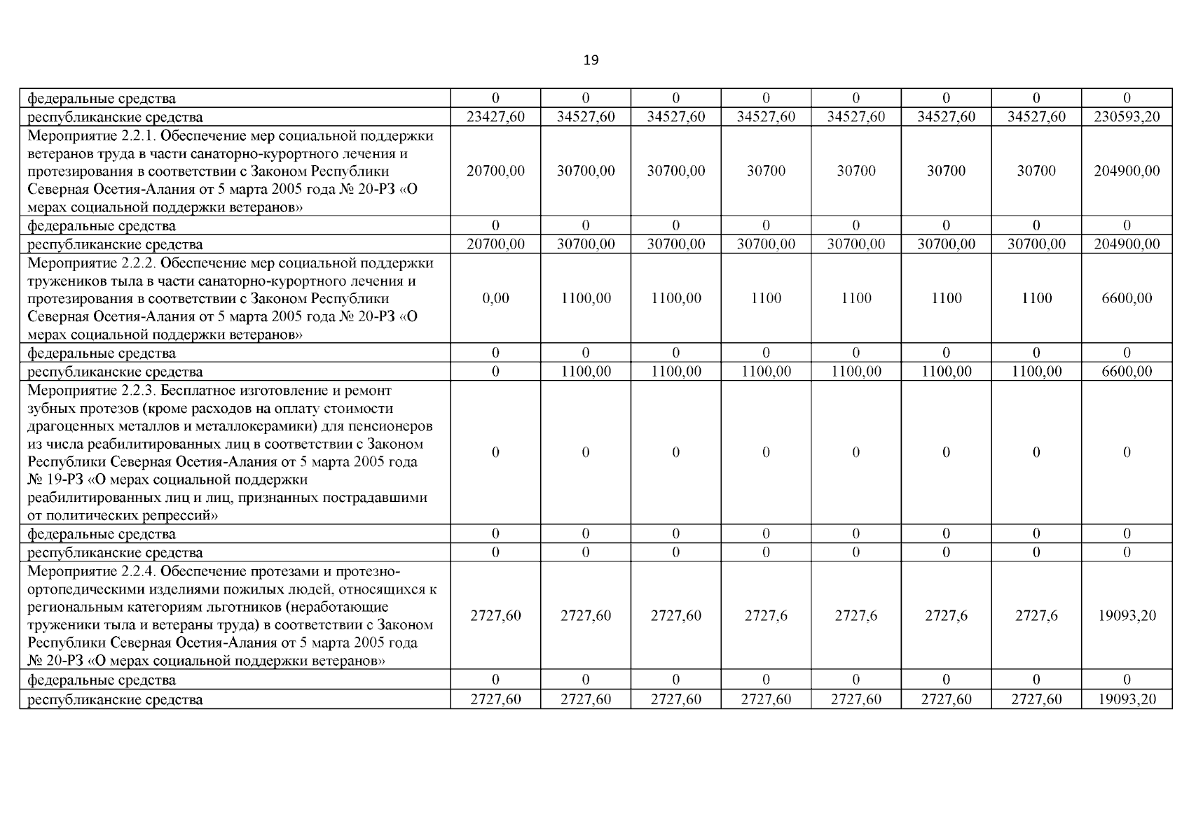
Постановление Правительства Республики Северная Осетия - Алания от 29.08.2024 № 398
"О внесении изменений в постановление Правительства Республики Северная Осетия-Алания от 10 мая 2016 года № 156 "О государственной программе Республики Северная Осетия-Алания "Социальное развитие Республики Северная Осетия-Алания"
Номер опубликования: 1500202409040010
Дата опубликования: 04.09.2024
Страница №20 из 84:
Увеличить