Официальное опубликование правовых актов
ОФИЦИАЛЬНОЕ ОПУБЛИКОВАНИЕ
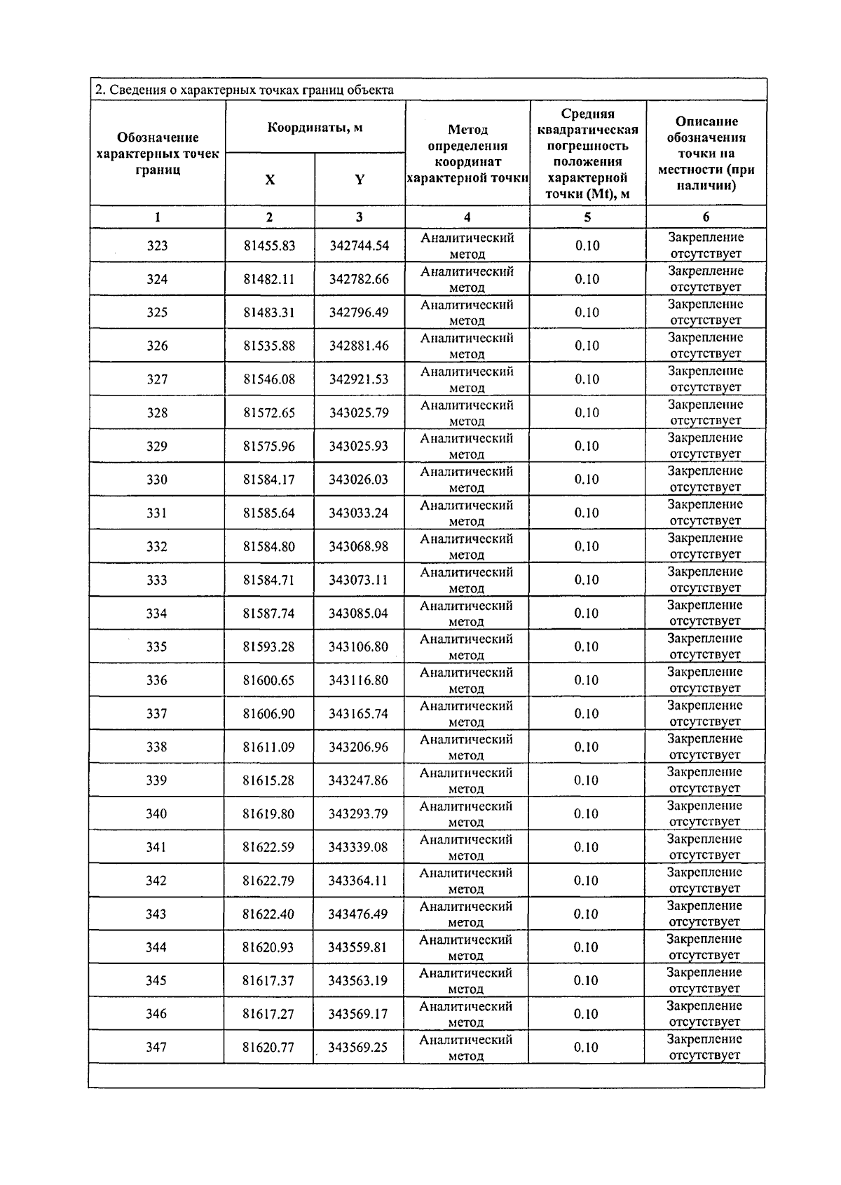
Распоряжение Правительства Республики Северная Осетия - Алания от 11.06.2024 № 263-р
"Об установлении публичного сервитута в интересах общества с ограниченной ответственностью "Газпром газификация"
Номер опубликования: 1500202406180038
Дата опубликования: 18.06.2024
Страница №19 из 25:
Увеличить