Официальное опубликование правовых актов
ОФИЦИАЛЬНОЕ ОПУБЛИКОВАНИЕ
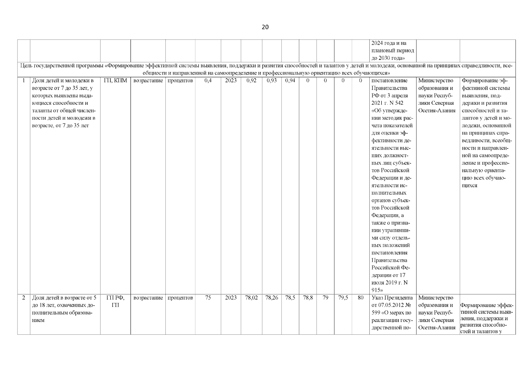
Постановление Правительства Республики Северная Осетия - Алания от 09.04.2024 № 176
"О внесении изменений в постановление Правительства Республики Северная Осетия-Алания от 25 июня 2019 г. № 224 "Об утверждении государственной программы Республики Северная Осетия-Алания "Развитие образования Республики Северная Осетия-Алания" на 2020 - 2026 годы"
Номер опубликования: 1500202404160012
Дата опубликования: 16.04.2024
Страница №21 из 200:
Увеличить