Официальное опубликование правовых актов
ОФИЦИАЛЬНОЕ ОПУБЛИКОВАНИЕ
Постановление Правительства Республики Северная Осетия - Алания от 27.02.2024 № 62
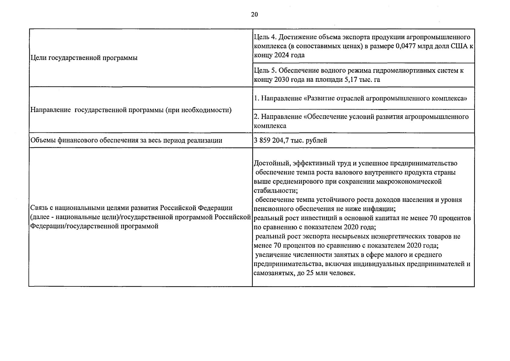
"О внесении изменений в постановление Правительства Республики Северная Осетия-Алания от 28 октября 2013 года № 392 "О государственной программе Республики Северная Осетия-Алания" Развитие сельского хозяйства и регулирование рынков сельскохозяйственной продукции, сырья и продовольствия" на 2014-2025 годы"
Номер опубликования: 1500202403050003
Дата опубликования: 05.03.2024
Страница №21 из 170:
Увеличить