Официальное опубликование правовых актов
ОФИЦИАЛЬНОЕ ОПУБЛИКОВАНИЕ
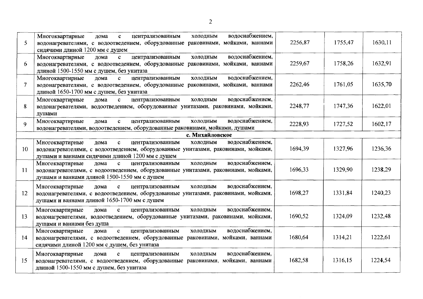
Постановление Правительства Республики Северная Осетия - Алания от 19.12.2023 № 602
"Об установлении стандартов, применяемых при определении прав граждан на получение субсидий на оплату жилого помещения и коммунальных услуг в Республике Северная Осетия-Алания, на 2024 год"
Номер опубликования: 1500202312250013
Дата опубликования: 25.12.2023
Страница №40 из 115:
Увеличить