Официальное опубликование правовых актов
ОФИЦИАЛЬНОЕ ОПУБЛИКОВАНИЕ
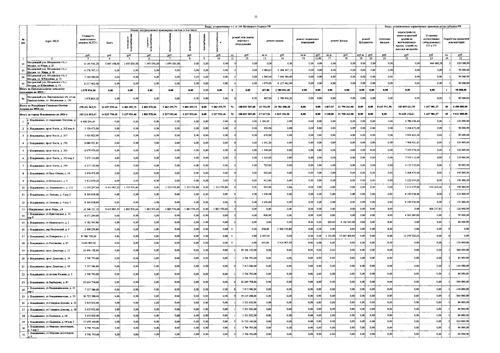
Постановление Правительства Республики Северная Осетия - Алания от 19.12.2023 № 582
"О внесении изменений в постановление Правительства Республики Северная Осетия-Алания от 28 декабря 2022 года № 591 "О краткосрочной республиканской программе "Капитальный ремонт общего имущества в многоквартирных домах" на 2023 - 2025 годы"
Номер опубликования: 1500202312220017
Дата опубликования: 22.12.2023
Страница №14 из 16:
Увеличить