Официальное опубликование правовых актов
ОФИЦИАЛЬНОЕ ОПУБЛИКОВАНИЕ
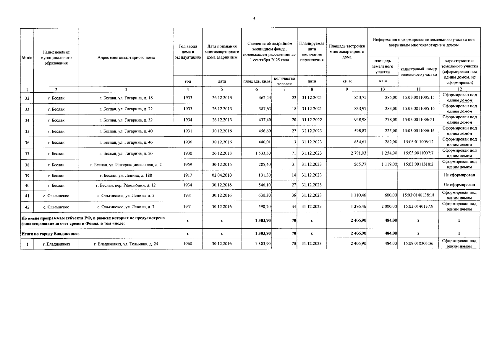
Постановление Правительства Республики Северная Осетия - Алания от 19.12.2023 № 583
"О внесении изменений в постановление Правительства Республики Северная Осетия-Алания от 1 апреля 2019 года № 108 «Об утверждении республиканской адресной программы «Переселение граждан из аварийного жилищного фонда на территории Республики Северная Осетия-Алания» на 2019-2023 годы»"
Номер опубликования: 1500202312220016
Дата опубликования: 22.12.2023
Страница №6 из 11:
Увеличить