Официальное опубликование правовых актов
ОФИЦИАЛЬНОЕ ОПУБЛИКОВАНИЕ
Постановление Правительства Республики Северная Осетия - Алания от 11.12.2023 № 557
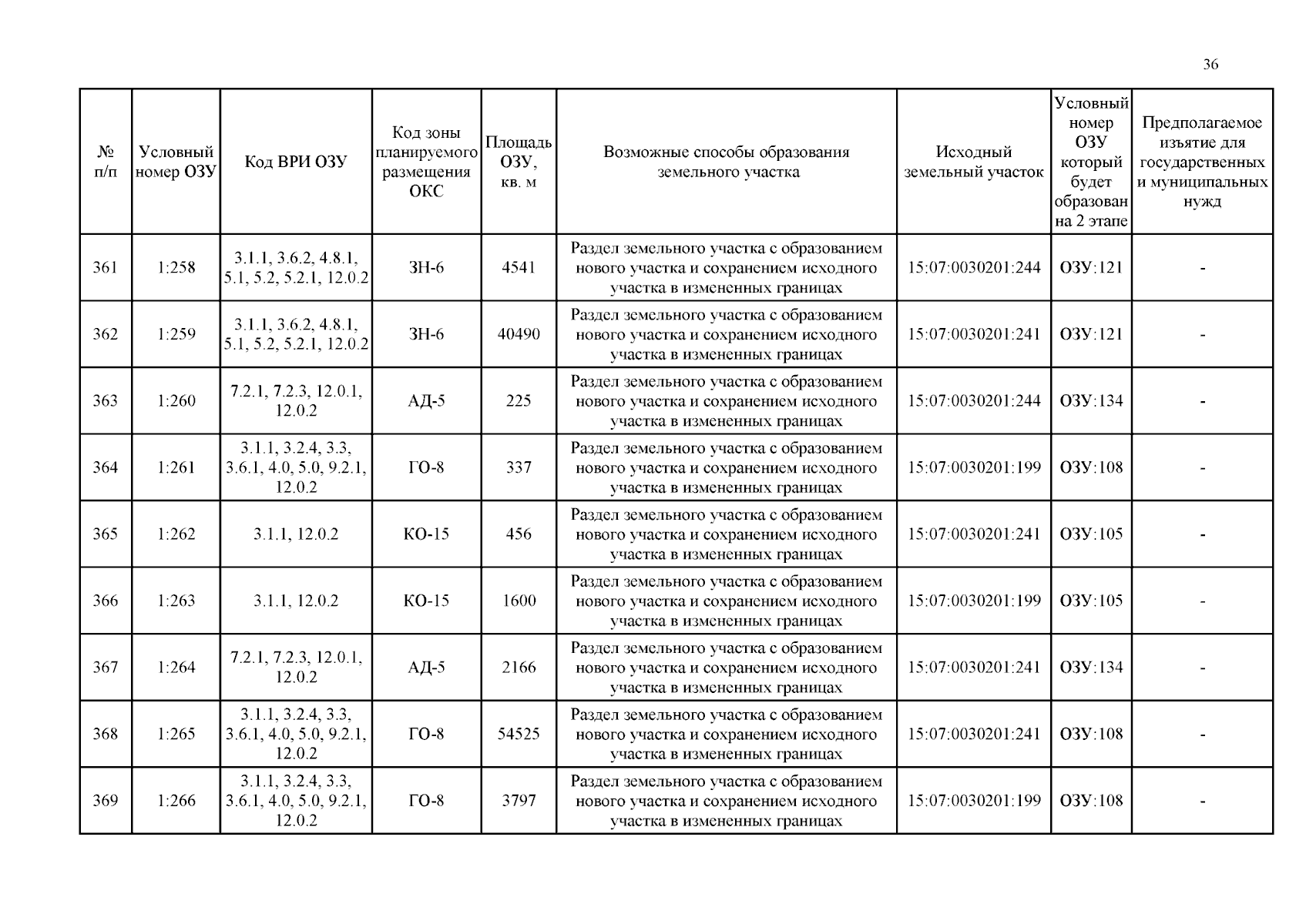
"О внесении изменений в постановление Правительства Республики Северная Осетия-Алания от 2 декабря 2019 года № 406"Об утверждении проекта планировки и проекта межевания территории всесезонного туристско-рекреационного комплекса "Мамисон"
Номер опубликования: 1500202312140004
Дата опубликования: 14.12.2023
Страница №113 из 169:
Увеличить