Официальное опубликование правовых актов
ОФИЦИАЛЬНОЕ ОПУБЛИКОВАНИЕ
Постановление Правительства Республики Северная Осетия - Алания от 22.11.2023 № 528
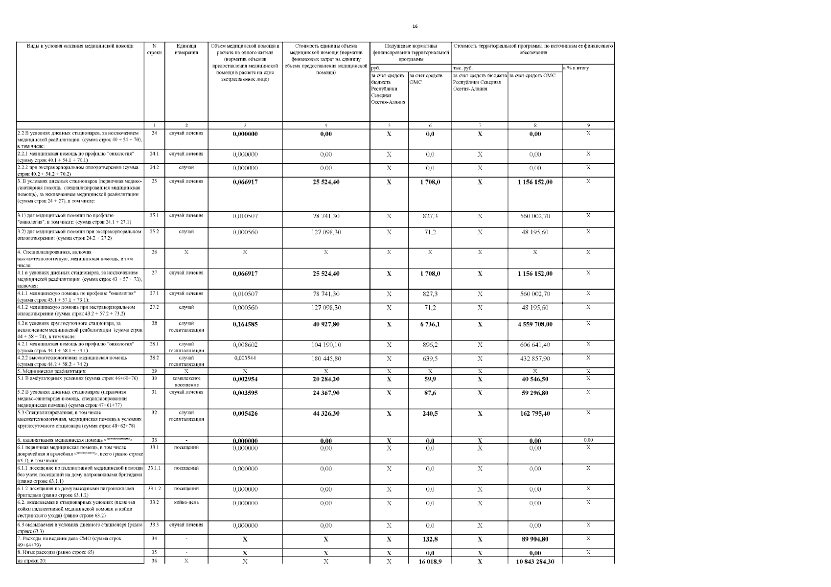
"О внесении изменений в постановление Правительства Республики Северная Осетия-Алания от 20 декабря 2022 г. № 550 "О Территориальной программе государственных гарантий бесплатного оказания гражданам медицинской помощи на территории Республики Северная Осетия-Алания на 2023 год и на плановый период 2024 и 2025 годов"
Номер опубликования: 1500202311270020
Дата опубликования: 27.11.2023
Страница №17 из 22:
Увеличить