Постановление Правительства Республики Северная Осетия - Алания от 01.08.2023 № 309
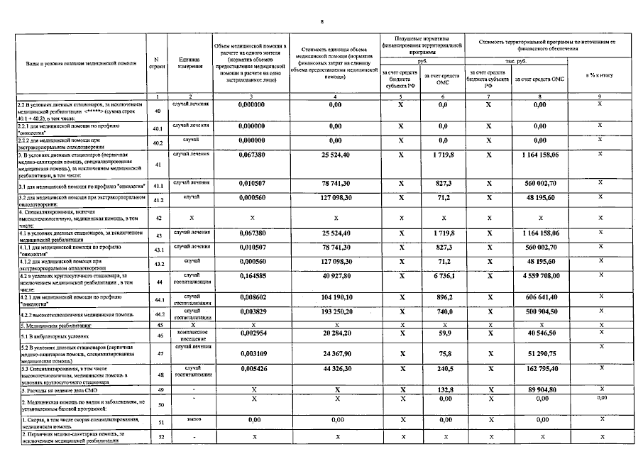
"О внесении изменений в постановление Правительства Республики Северная Осетия-Алания от 20 декабря 2022 г. № 550 «О Территориальной программе государственных гарантий бесплатного оказания гражданам медицинской помощи на территории Республики Северная Осетия-Алания на 2023 год и на плановый период 2024 и 2025 годов»"
"О внесении изменений в постановление Правительства Республики Северная Осетия-Алания от 20 декабря 2022 г. № 550 «О Территориальной программе государственных гарантий бесплатного оказания гражданам медицинской помощи на территории Республики Северная Осетия-Алания на 2023 год и на плановый период 2024 и 2025 годов»"
Номер опубликования: 1500202308070007
Дата опубликования:
07.08.2023
