Официальное опубликование правовых актов
ОФИЦИАЛЬНОЕ ОПУБЛИКОВАНИЕ
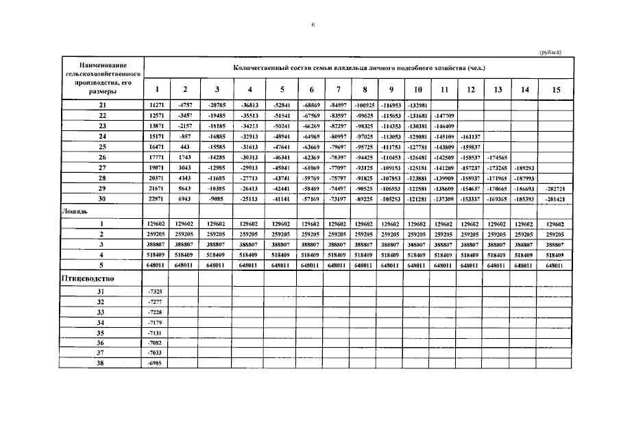
Постановление Правительства Республики Северная Осетия - Алания от 20.06.2023 № 228
"О годовых нормативах чистого дохода в стоимостном выражении от реализации плодов и продукции, полученных в личном подсобном хозяйстве, в Республике Северная Осетия-Алания на второе полугодие 2023 года"
Номер опубликования: 1500202306260021
Дата опубликования: 26.06.2023
Страница №7 из 9:
Увеличить