Официальное опубликование правовых актов
ОФИЦИАЛЬНОЕ ОПУБЛИКОВАНИЕ
Постановление Правительства Республики Северная Осетия - Алания от 22.05.2023 № 184
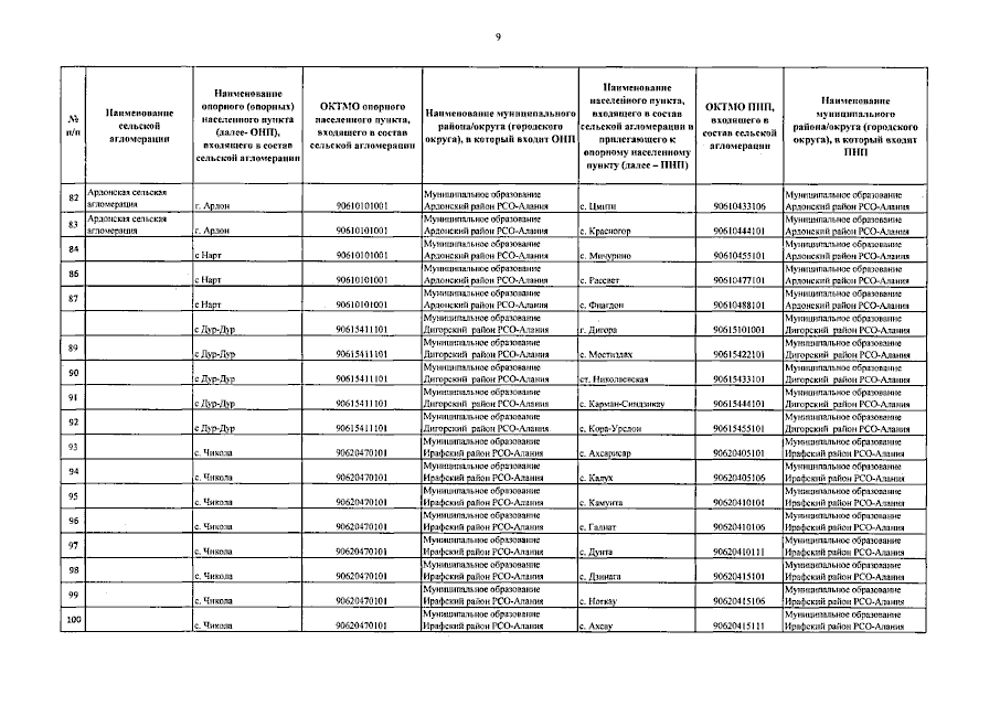
"О внесении изменений в постановление Правительства Республики Северная Осетия-Алания от 16 февраля 2023 года № 47 "Об утверждении перечня опорных населенных пунктов и прилегающих населенных пунктов Республики Северная Осетия-Алания"
Номер опубликования: 1500202305250019
Дата опубликования: 25.05.2023
Страница №10 из 15:
Увеличить