Официальное опубликование правовых актов
ОФИЦИАЛЬНОЕ ОПУБЛИКОВАНИЕ
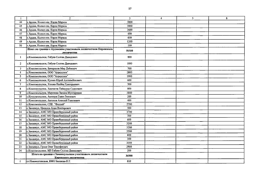
Указ Главы Республики Северная Осетия - Алания от 15.02.2023 № 34
"Об утверждении сводного плана тушения лесных пожаров на территории Республики Северная Осетия-Алания на период пожароопасного сезона 2023 года"
Номер опубликования: 1500202302220015
Дата опубликования: 22.02.2023
Страница №58 из 130:
Увеличить