Официальное опубликование правовых актов
ОФИЦИАЛЬНОЕ ОПУБЛИКОВАНИЕ
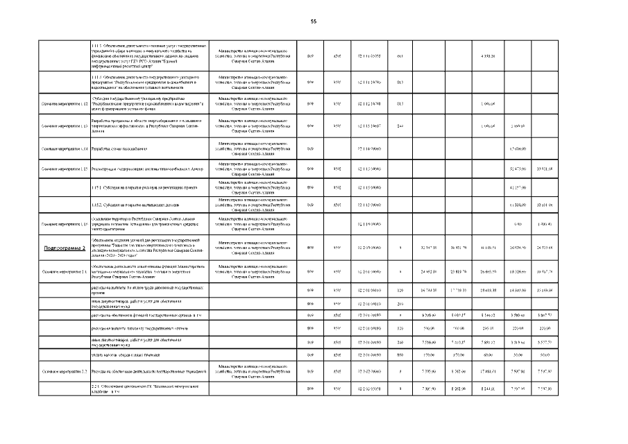
Постановление Правительства Республики Северная Осетия - Алания от 20.12.2022 № 563
"О внесении изменений в постановление Правительства Республики Северная Осетия-Алания от 10 декабря 2019 года № 417 "О государственной программе Республики Северная Осетия-Алания "Развитие топливно-энергетического комплекса и жилищно-коммунального хозяйства Республики Северная Осетия-Алания (2020-2024 годы)"
Номер опубликования: 1500202212260028
Дата опубликования: 26.12.2022
Страница №57 из 61:
Увеличить