Официальное опубликование правовых актов
ОФИЦИАЛЬНОЕ ОПУБЛИКОВАНИЕ
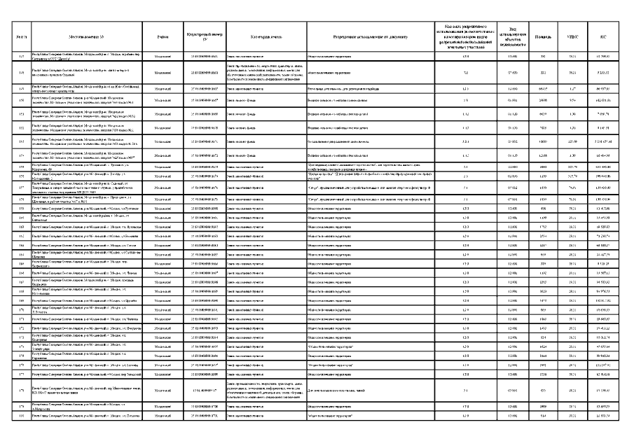
Постановление Правительства Республики Северная Осетия - Алания от 25.10.2022 № 453
"Об утверждении результатов государственной кадастровой оценки"
Номер опубликования: 1500202210280001
Дата опубликования: 28.10.2022
Страница №12 из 5849:
Увеличить