Официальное опубликование правовых актов
ОФИЦИАЛЬНОЕ ОПУБЛИКОВАНИЕ
Постановление Правительства Республики Северная Осетия - Алания от 03.12.2021 № 416
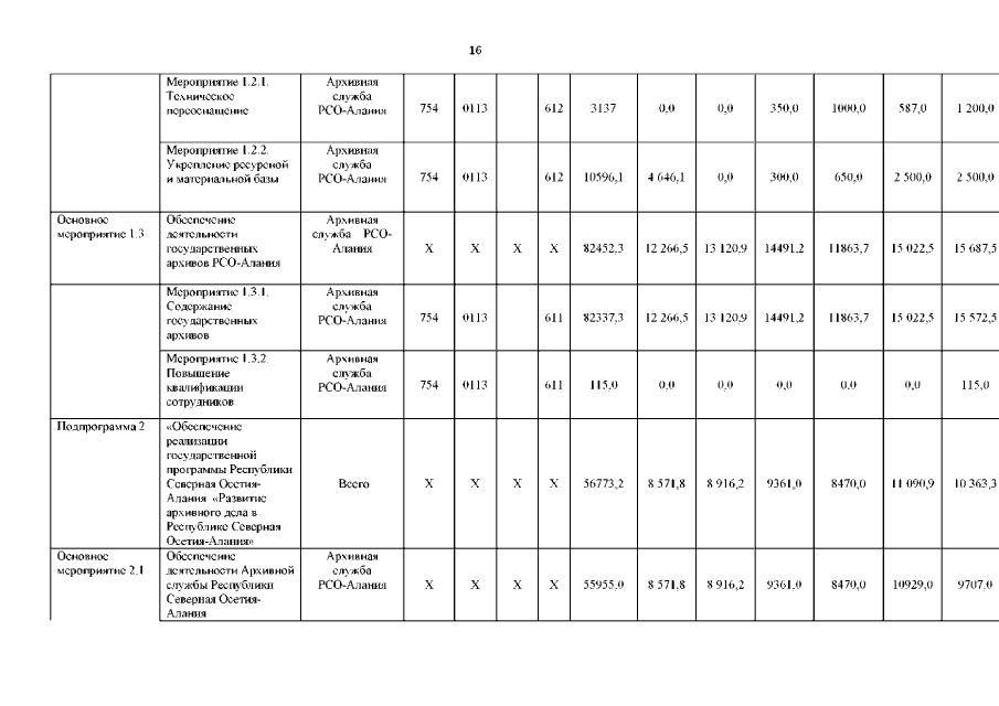
"О внесении изменений в постановление Правительства Республики Северная Осетия-Алания от 7 августа 2018 года № 267 "Об утверждении государственной программы Республики Северная Осетия-Алания "Развитие архивного дела в Республике Северная Осетия-Алания" на 2019 - 2023 годы и внесении изменения в постановление Правительства Республики Северная Осетия-Алания от 1 августа 2017 года № 293 "Об утверждении перечня государственных программ Республики Северная Осетия-Алания"
Номер опубликования: 1500202112080010
Дата опубликования: 08.12.2021
Страница №17 из 22:
Увеличить