Официальное опубликование правовых актов
ОФИЦИАЛЬНОЕ ОПУБЛИКОВАНИЕ
Распоряжение Правительства Республики Северная Осетия - Алания от 17.06.2021 № 217-р
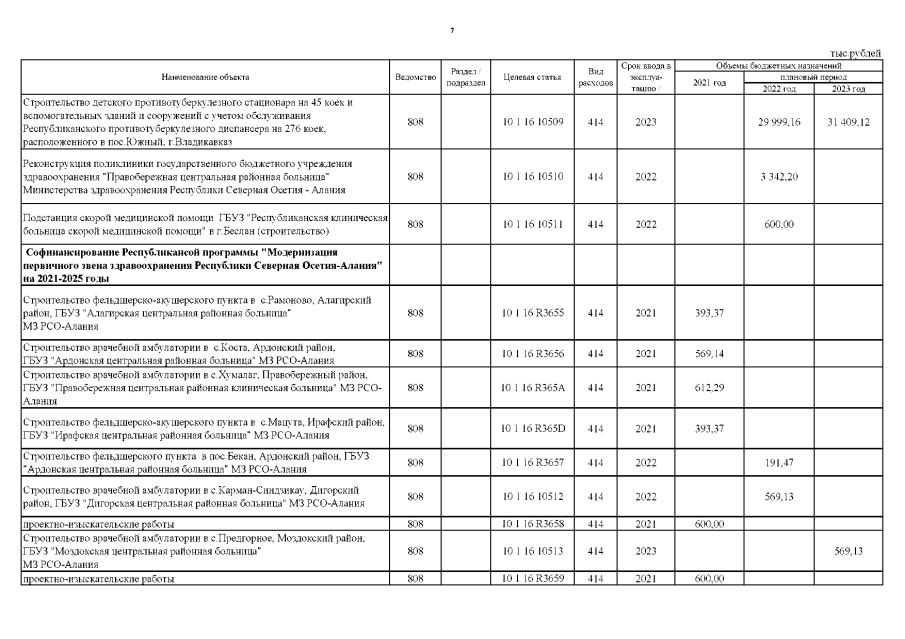
"О внесении изменения в распоряжение Правительства Республики Северная Осетия-Алания от 2 февраля 2021 г. № 25-р "О республиканской адресной инвестиционной программе Республики Северная Осетия - Алания на 2021 год и на плановый период 2022 и 2023 годов"
Номер опубликования: 1500202106220001
Дата опубликования: 22.06.2021
Страница №8 из 12:
Увеличить