Официальное опубликование правовых актов
ОФИЦИАЛЬНОЕ ОПУБЛИКОВАНИЕ
Постановление Правительства Республики Северная Осетия - Алания от 29.04.2021 № 116
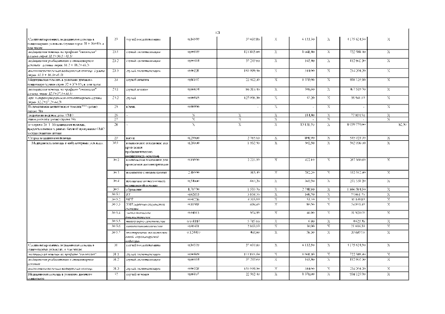
"О внесении изменений в постановление Правительства Республики Северная Осетия-Алания от 30 декабря 2020 г. № 475 "О Территориальной программе государственных гарантий бесплатного оказания гражданам медицинской помощи на территории Республики Северная Осетия-Алания на 2021 год и на плановый период 2022 и 2023 годов"
Номер опубликования: 1500202105040005
Дата опубликования: 04.05.2021
Страница №122 из 128:
Увеличить