Официальное опубликование правовых актов
ОФИЦИАЛЬНОЕ ОПУБЛИКОВАНИЕ
Постановление Правительства Республики Северная Осетия - Алания от 13.04.2021 № 94
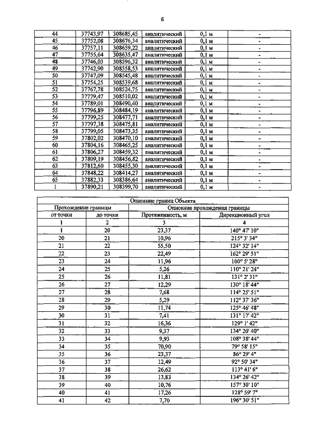
"Об утверждении границ зон охраны объекта культурного наследия регионального значения "Замок (галуан) с башней Карацевых", расположенного по адресу: Республика Северная Осетия-Алания, Алагирский район, с. Урикау, особых режимов использования земель и требований к градостроительным регламентам в границах данных зон"
Номер опубликования: 1500202104160004
Дата опубликования: 16.04.2021
Страница №8 из 15:
Увеличить