Официальное опубликование правовых актов
ОФИЦИАЛЬНОЕ ОПУБЛИКОВАНИЕ
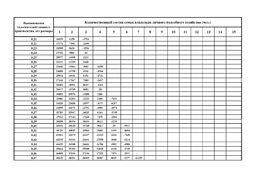
Постановление Правительства Республики Северная Осетия - Алания от 19.01.2021 № 6
"О годовых нормативах чистого дохода в стоимостном выражении от реализации плодов и продукции, полученных в личном подсобном хозяйстве, в Республике Северная Осетия-Алания на первое полугодие 2021 года"
Номер опубликования: 1500202101220003
Дата опубликования: 22.01.2021
Страница №3 из 9:
Увеличить