Официальное опубликование правовых актов
ОФИЦИАЛЬНОЕ ОПУБЛИКОВАНИЕ
Постановление Правительства Республики Северная Осетия - Алания от 19.01.2021 № 4
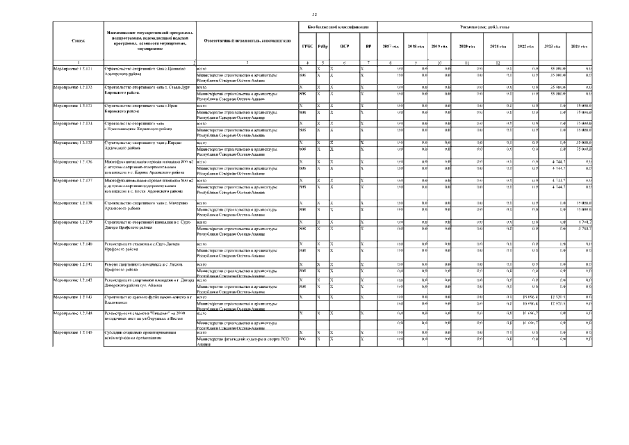
"О внесении изменений в постановление Правительства Республики Северная Осетия-Алания от 26 декабря 2016 года № 468 "О Государственной программе Республики Северная Осетия-Алания "Развитие физической культуры и спорта в Республике Северная Осетия-Алания" на 2017 - 2020 годы"
Номер опубликования: 1500202101220002
Дата опубликования: 22.01.2021
Страница №23 из 44:
Увеличить