Распоряжение Правительства Республики Северная Осетия - Алания от 22.12.2020 № 508-р
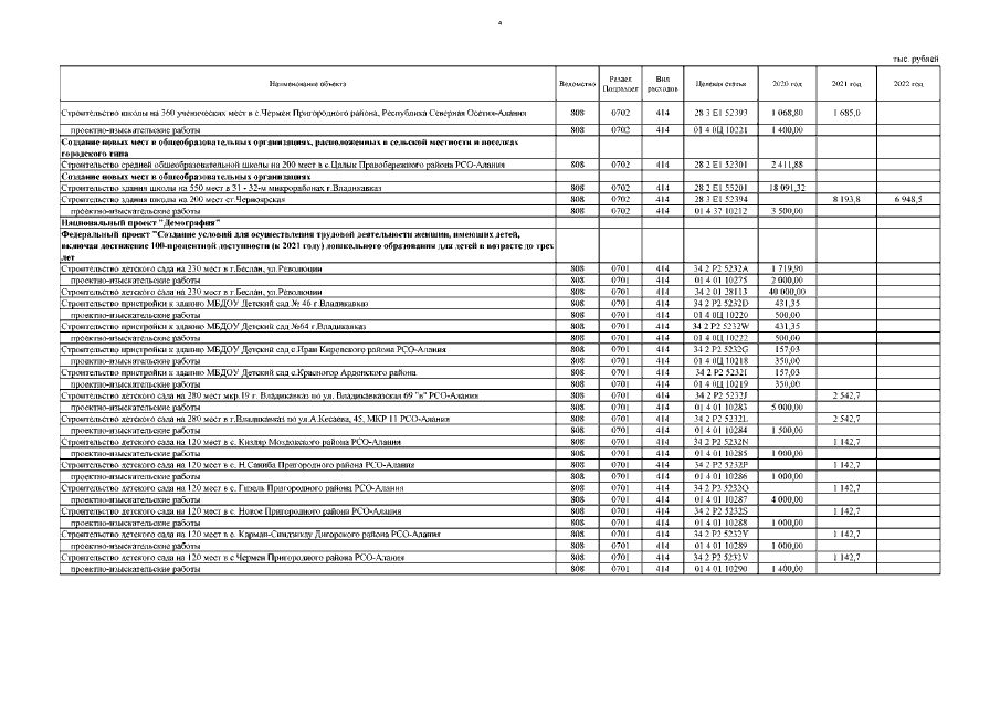
"О внесении изменения в распоряжение Правительства Республики Северная Осетия-Алания от 10 декабря 2019 года № 428-р "О республиканской адресной инвестиционной программе Республики Северная Осетия - Алания на 2020 год и на плановый период 2021 и 2022 годов"
"О внесении изменения в распоряжение Правительства Республики Северная Осетия-Алания от 10 декабря 2019 года № 428-р "О республиканской адресной инвестиционной программе Республики Северная Осетия - Алания на 2020 год и на плановый период 2021 и 2022 годов"
Номер опубликования: 1500202012280043
Дата опубликования:
28.12.2020
