Официальное опубликование правовых актов
ОФИЦИАЛЬНОЕ ОПУБЛИКОВАНИЕ
Постановление Правительства Республики Северная Осетия - Алания от 22.12.2020 № 445
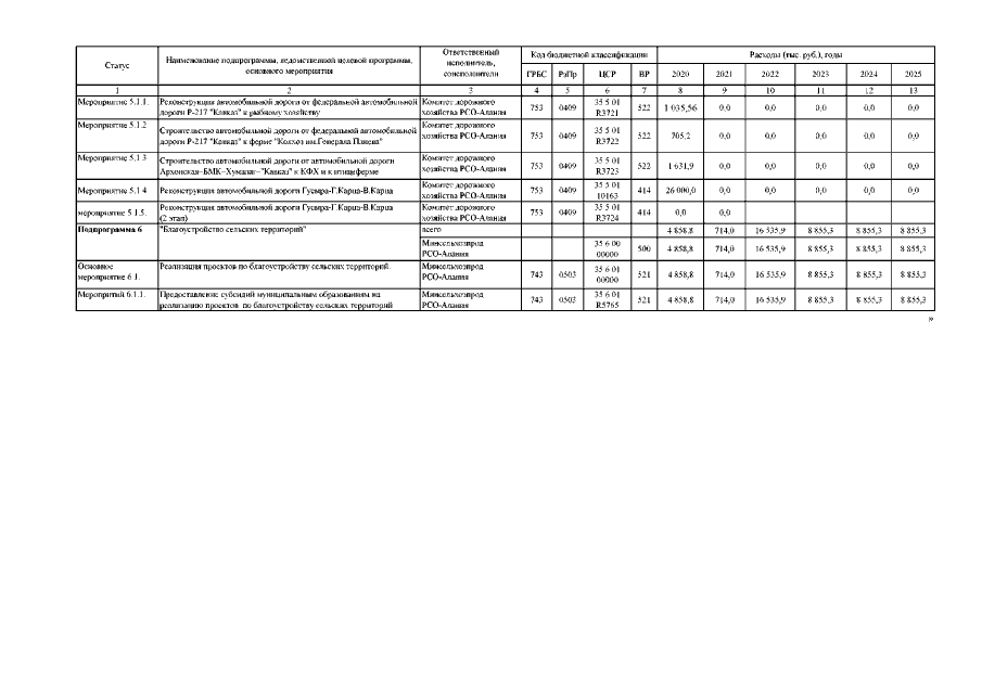
"О внесении изменений в постановление Правительства Республики Северная Осетия-Алания от 10 декабря 2019 года № 420 "О государственной программе Республики Северная Осетия-Алания "Комплексное развитие сельских территорий" на 2020 - 2025 годы"
Номер опубликования: 1500202012280039
Дата опубликования: 28.12.2020
Страница №10 из 12:
Увеличить