Официальное опубликование правовых актов
ОФИЦИАЛЬНОЕ ОПУБЛИКОВАНИЕ
Постановление Правительства Республики Северная Осетия - Алания от 22.12.2020 № 430
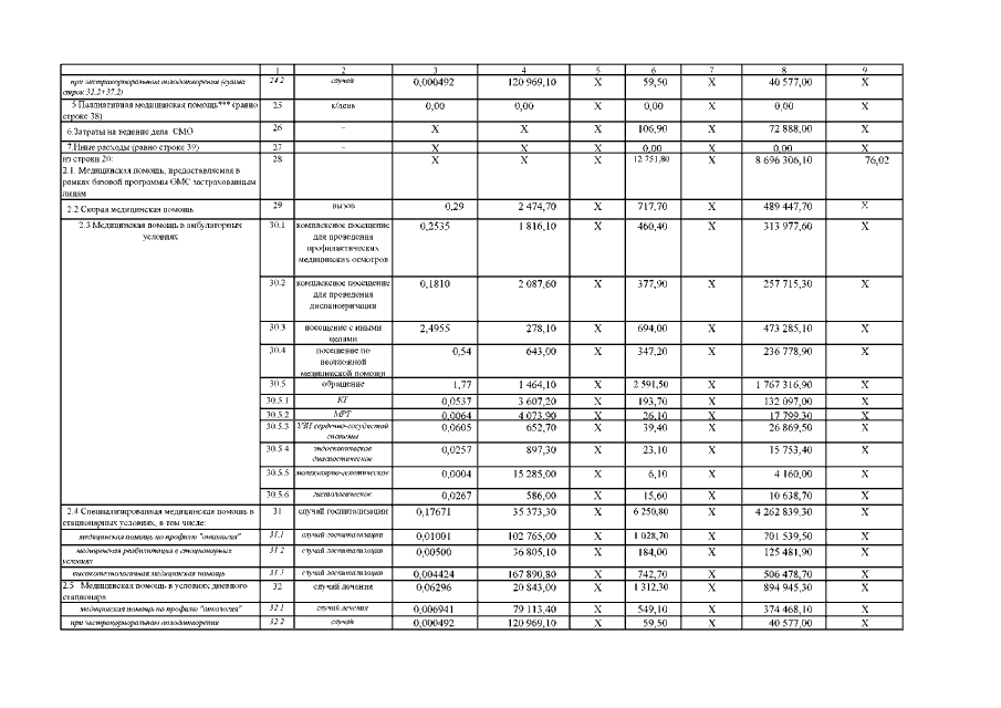
"О внесении изменений в постановление Правительства Республики Северная Осетия-Алания от 24 декабря 2019 года № 448"О Территориальной программе государственных гарантий бесплатного оказания гражданам медицинской помощи на территории Республики Северная Осетия-Алания на 2020 год и на плановый период 2021 и 2022 годов"
Номер опубликования: 1500202012280018
Дата опубликования: 28.12.2020
Страница №8 из 10:
Увеличить