Официальное опубликование правовых актов
ОФИЦИАЛЬНОЕ ОПУБЛИКОВАНИЕ
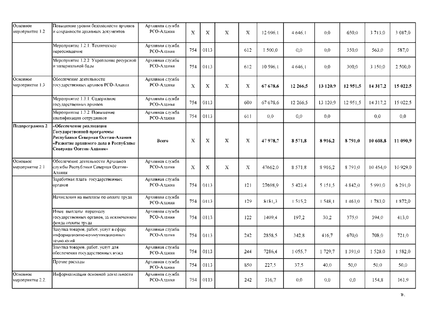
Постановление Правительства Республики Северная Осетия - Алания от 22.12.2020 № 455
"О внесении изменений в постановление Правительства Республики Северная Осетия-Алания от 7 августа 2018 г. № 267 "Об утверждении государственной программы Республики Северная Осетия-Алания "Развитие архивного дела в Республике Северная Осетия-Алания" на 2019 - 2023 годы и внесении изменения в постановление Правительства Республики Северная Осетия-Алания от 1 августа 2017 г. N 293 "Об утверждении Перечня государственных программ Республики Северная Осетия-Алания"
Номер опубликования: 1500202012280001
Дата опубликования: 28.12.2020
Страница №7 из 7:
Увеличить