Официальное опубликование правовых актов
ОФИЦИАЛЬНОЕ ОПУБЛИКОВАНИЕ
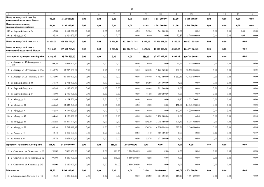
Постановление Правительства Республики Северная Осетия - Алания от 22.12.2020 № 442
"О внесении изменений в постановление Правительства Республики Северная Осетия-Алания от 31 мая 2013 года № 207 "Об адресной программе Республики Северная Осетия-Алания "Переселение граждан из аварийного жилищного фонда на 2013-2018 годы (в том числе с учетом необходимости развития малоэтажного жилищного строительства)"
Номер опубликования: 1500202012250004
Дата опубликования: 25.12.2020
Страница №26 из 30:
Увеличить