Официальное опубликование правовых актов
ОФИЦИАЛЬНОЕ ОПУБЛИКОВАНИЕ
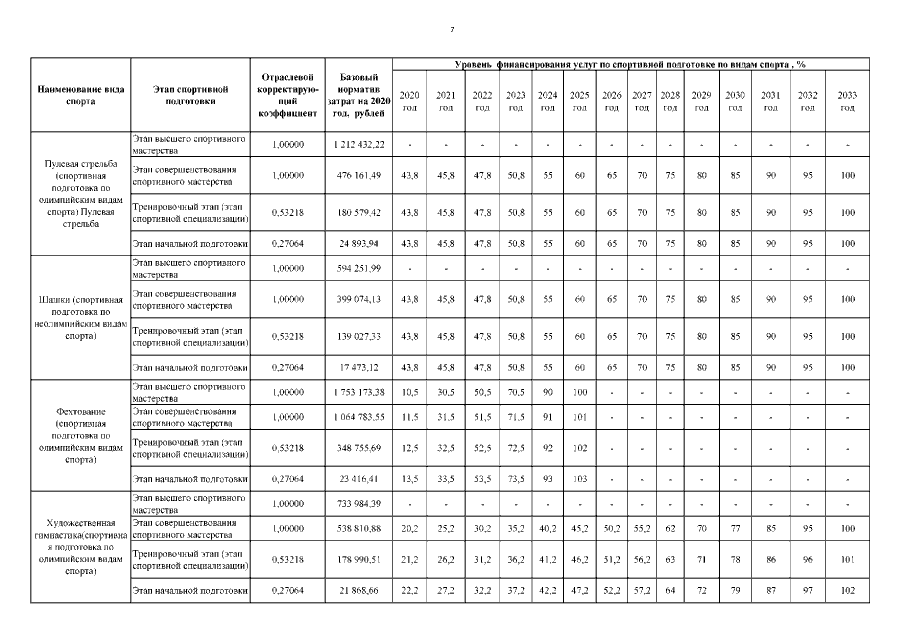
Распоряжение Правительства Республики Северная Осетия - Алания от 24.11.2020 № 440-р
"Об утверждении плана мероприятий ("дорожной карты") по обеспечению финансирования государственных учреждений Республики Северная Осетия-Алания, осуществляющих спортивную подготовку в соответствии с требованиями федеральных стандартов спортивной подготовки и программ спортивной подготовки"
Номер опубликования: 1500202011270004
Дата опубликования: 27.11.2020
Страница №8 из 13:
Увеличить