Официальное опубликование правовых актов
ОФИЦИАЛЬНОЕ ОПУБЛИКОВАНИЕ
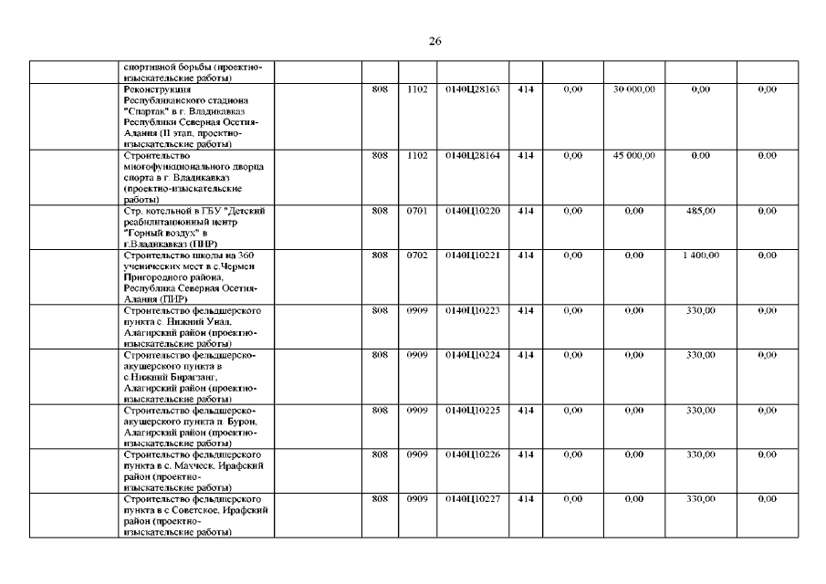
Постановление Правительства Республики Северная Осетия - Алания от 17.11.2020 № 393
"О внесении изменений в постановление Правительства Республики Северная Осетия-Алания от 15 марта 2016 года № 73 "О государственной программе Республики Северная Осетия-Алания "Обеспечение доступным и комфортным жильем граждан в Республике Северная Осетия-Алания" на 2016-2024 годы"
Номер опубликования: 1500202011190001
Дата опубликования: 19.11.2020
Страница №27 из 74:
Увеличить