Официальное опубликование правовых актов
ОФИЦИАЛЬНОЕ ОПУБЛИКОВАНИЕ
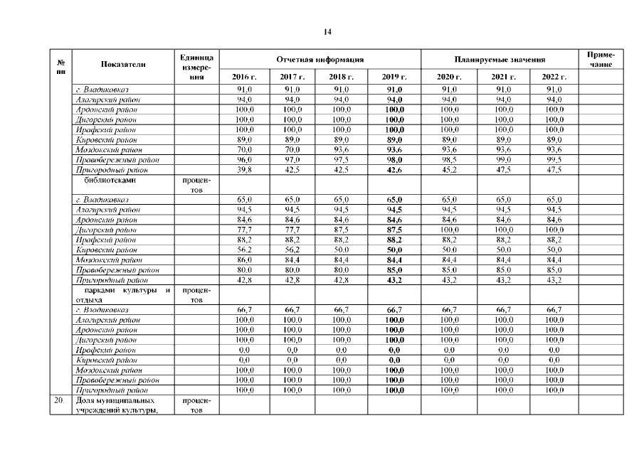
Распоряжение Правительства Республики Северная Осетия - Алания от 15.09.2020 № 325-р
"О результатах мониторинга эффективности деятельности органов местного самоуправления Республики Северная Осетия-Алания"
Номер опубликования: 1500202009180006
Дата опубликования: 18.09.2020
Страница №57 из 76:
Увеличить