Официальное опубликование правовых актов
ОФИЦИАЛЬНОЕ ОПУБЛИКОВАНИЕ
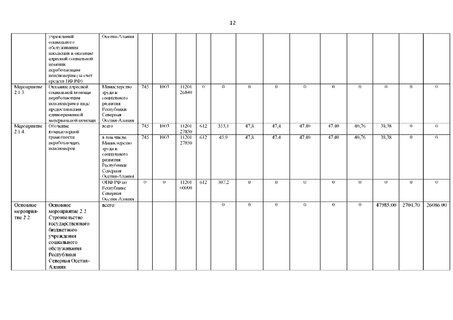
Постановление Правительства Республики Северная Осетия - Алания от 14.08.2020 № 273
"О внесении изменений в постановление Правительства Республики Северная Осетия-Алания от 10 мая 2016 года № 156 "О государственной программе Республики Северная Осетия-Алания "Социальное развитие Республики Северная Осетия-Алания" на 2016-2024 годы"
Номер опубликования: 1500202008200008
Дата опубликования: 20.08.2020
Страница №13 из 41:
Увеличить