Официальное опубликование правовых актов
ОФИЦИАЛЬНОЕ ОПУБЛИКОВАНИЕ
Постановление Правительства Республики Северная Осетия - Алания от 14.08.2020 № 274
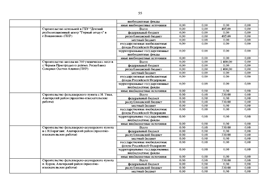
"О внесении изменений в постановление Правительства Республики Северная Осетия-Алания от 15 марта 2016 года № 73 "О государственной программе Республики Северная Осетия-Алания "Обеспечение доступным и комфортным жильем граждан в Республике Северная Осетия-Алания" на 2016-2024 годы"
Номер опубликования: 1500202008200001
Дата опубликования: 20.08.2020
Страница №56 из 71:
Увеличить