Официальное опубликование правовых актов
ОФИЦИАЛЬНОЕ ОПУБЛИКОВАНИЕ
Постановление Правительства Республики Северная Осетия - Алания от 21.07.2020 № 230
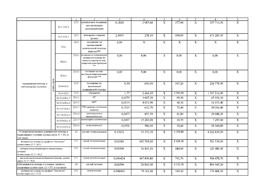
"О внесении изменений в постановление Правительства Республики Северная Осетия-Алания от 24 декабря 2019 года № 448 "О Территориальной программе государственных гарантий бесплатного оказания гражданам медицинской помощи на территории Республики Северная Осетия-Алания на 2020 год и на плановый период 2021 и 2022 годов"
Номер опубликования: 1500202007270019
Дата опубликования: 27.07.2020
Страница №6 из 9:
Увеличить