Официальное опубликование правовых актов
ОФИЦИАЛЬНОЕ ОПУБЛИКОВАНИЕ
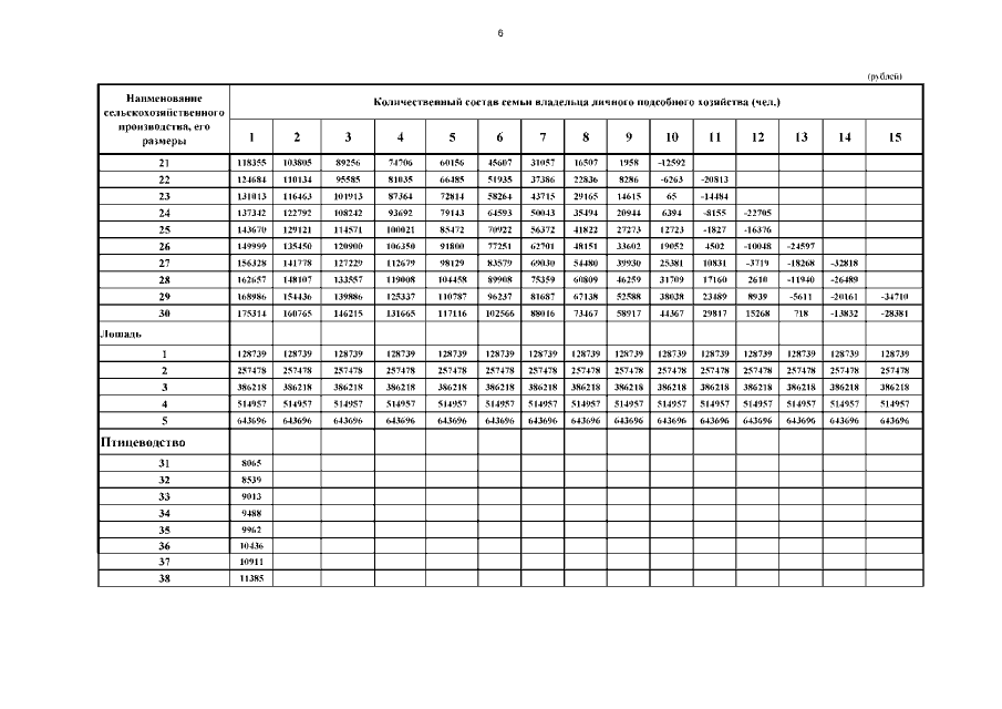
Постановление Правительства Республики Северная Осетия - Алания от 21.07.2020 № 234
"О годовых нормативах чистого дохода в стоимостном выражении от реализации плодов и продукции, полученных в личном подсобном хозяйстве, в Республике Северная Осетия-Алания на второе полугодие 2020 года"
Номер опубликования: 1500202007270017
Дата опубликования: 27.07.2020
Страница №7 из 9:
Увеличить