Официальное опубликование правовых актов
ОФИЦИАЛЬНОЕ ОПУБЛИКОВАНИЕ
Распоряжение Правительства Республики Северная Осетия - Алания от 21.07.2020 № 248-р
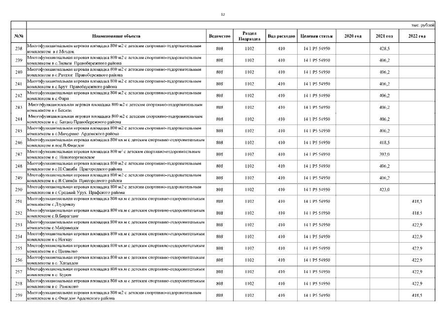
"О внесении изменения в распоряжение Правительства Республики Северная Осетия-Алания от 10 декабря 2019 г. № 428-р "О республиканской адресной инвестиционной программе Республики Северная Осетия - Алания на 2020 год и на плановый период 2021 и 2022 годов"
Номер опубликования: 1500202007270005
Дата опубликования: 27.07.2020
Страница №13 из 15:
Увеличить