Официальное опубликование правовых актов
ОФИЦИАЛЬНОЕ ОПУБЛИКОВАНИЕ
Постановление Правительства Республики Северная Осетия - Алания от 09.06.2020 № 197
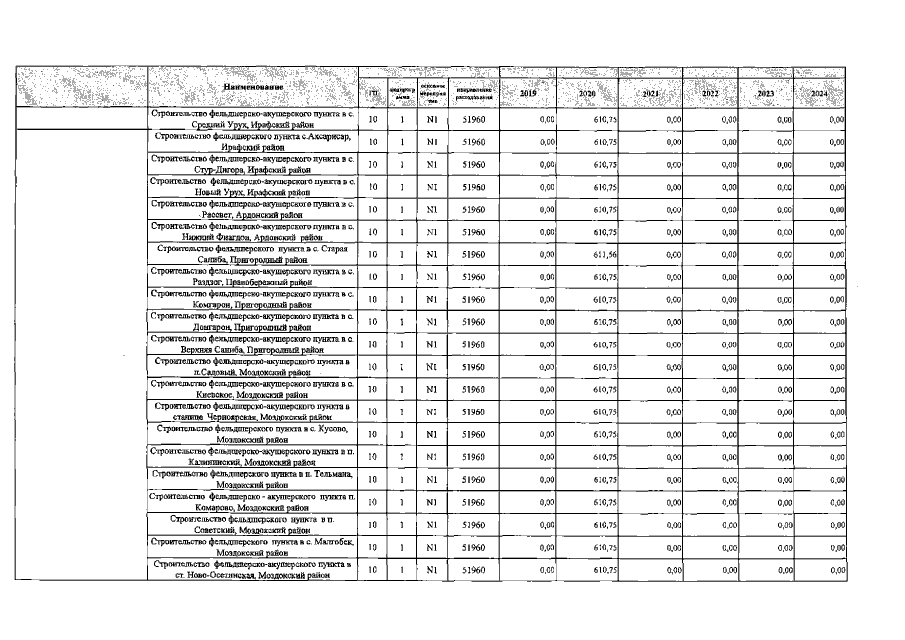
"О внесений изменений в постановление Правительства Республики Северная Осетия-Алания от 10 декабря 2019 г. № 409 "Об утверждении государственной программы Республики Северная Осетия-Алания "Развитие здравоохранения Республики Северная Осетия-Алания" на 2019-2024 годы"
Номер опубликования: 1500202006150018
Дата опубликования: 15.06.2020
Страница №56 из 67:
Увеличить