Официальное опубликование правовых актов
ОФИЦИАЛЬНОЕ ОПУБЛИКОВАНИЕ
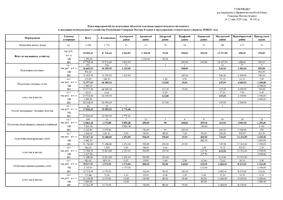
Распоряжение Правительства Республики Северная Осетия - Алания от 12.05.2020 № 182-р
"Об итогах осенне-зимнего периода 2019/20 года и задачах по подготовке объектов топливно-энергетического комплекса и жилищно-коммунального хозяйства Республики Северная Осетия-Алания к осенне-зимнему периоду 2020/21 года"
Номер опубликования: 1500202005140002
Дата опубликования: 14.05.2020
Страница №4 из 8:
Увеличить