Официальное опубликование правовых актов
ОФИЦИАЛЬНОЕ ОПУБЛИКОВАНИЕ
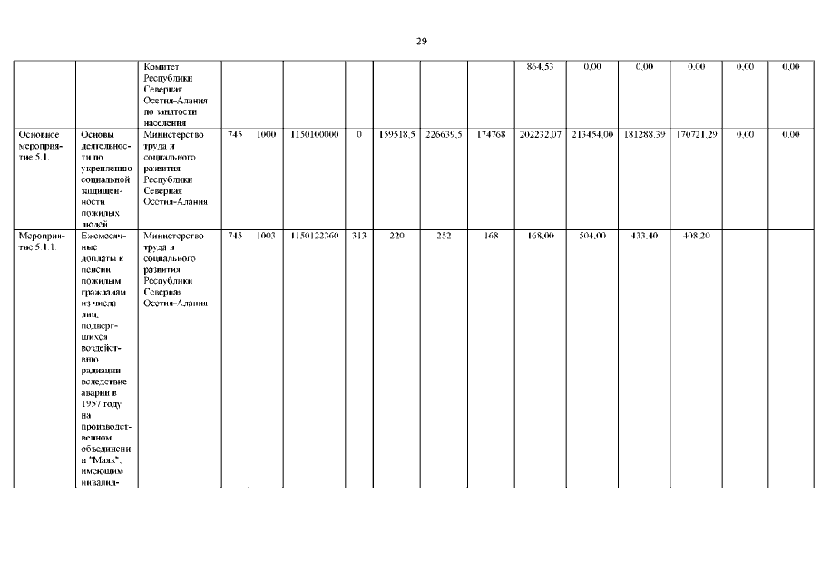
Постановление Правительства Республики Северная Осетия - Алания от 31.03.2020 № 100
"О внесении изменений в постановление Правительства Республики Северная Осетия-Алания от 10 мая 2016 года №156 "О государственной программе Республики Северная Осетия-Алания "Социальное развитие Республики Северная Осетия-Алания" на 2016-2024 годы"
Номер опубликования: 1500202004060043
Дата опубликования: 06.04.2020
Страница №30 из 88:
Увеличить