Официальное опубликование правовых актов
ОФИЦИАЛЬНОЕ ОПУБЛИКОВАНИЕ
Постановление Правительства Республики Северная Осетия - Алания от 27.03.2020 № 95
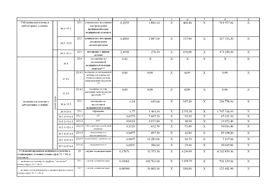
"О внесении изменений в постановление Правительства Республики Северная Осетия-Алания от 24 декабря 2019 года № 448 "О Территориальной программе государственных гарантий бесплатного оказания гражданам медицинской помощи на территории Республики Северная Осетия-Алания на 2020 год и на плановый период 2021 и 2022 годов"
Номер опубликования: 1500202003300003
Дата опубликования: 30.03.2020
Страница №9 из 12:
Увеличить